कुंभ से उत्पन्न जाम को गिनीज बुक में दर्ज करने हेतु प्रत्यावेदन
अन्य खबरे Feb 11, 2025 at 12:30 PM , 250लखनऊ।
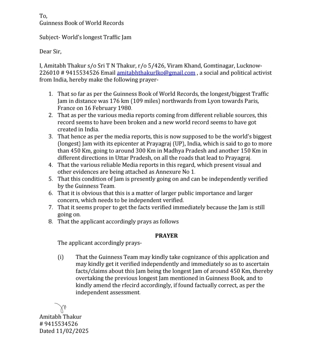
आजाद अधिकार सेना के राष्ट्रीय अध्यक्ष अमिताभ ठाकुर ने महाकुंभ के क्रम में प्रयागराज से मध्य प्रदेश और उत्तर प्रदेश के विभिन्न मार्गों पर सामने आए जाम के संबंध में गिनीज बुक ऑफ वर्ल्ड रिकॉर्ड्स तथा लिम्का बुक ऑफ रिकॉर्ड्स को प्रत्यावेदन भेज कर भेजा है.
अपने प्रत्यावेदन में उन्होंने कहा है कि विश्व का अब तक का सबसे लंबा ट्रैफिक जाम फरवरी 1980 में फ्रांस के लियोन से पेरिस का 176 किलोमीटर का जाम है. इसके विपरीत सामने आ रही सूचनाओं के अनुसार कुंभ के क्रम में प्रयागराज से यूपी और एमपी के विभिन्न सड़कों पर लगभग 400- 450 किलोमीटर का लंबा जाम लगातार लगा हुआ है.
अमिताभ ठाकुर ने गिनीज बुक तथा लिम्का बुक को इस जाम के संबंध में तथ्य और साक्ष्य भेजते हुए इन्हें अपने स्तर से सत्यापित कर सही पाए जाने पर अपने रिकॉर्ड को संशोधित किए जाने की मांग की है.




























Comments